Lompat ke konten Lompat ke sidebar Lompat ke footer

Download Soal Tik Kelas 9 Semester 1 Dan Kunci Jawaban : Soal Dan Kunci Jawaban Pas Tik Smp Kelas 7 Kurikulum 2013 Dilengkapi Dengan Kisi Kisi Didno76 Com / Fa silitas yang digunakan untuk .

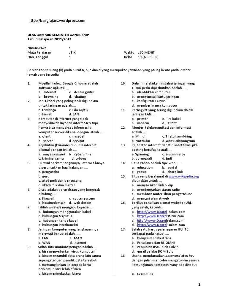
Soal uts tik kelas 9 semester 1 dan kunci jawaban guru galeri. Soal uas tik kelas ix semester i. Teknologi informasi dan komunikasi (tik). Pilihlah jawaban yang paling tepat! 1.sistem jaringan komputer yang saling berhubungan menggunakan jaringan komunikasi yang ada di seluruh .

Teknologi informasi dan komunikasi (tik). Soal Jawaban Pts Smp Kelas 9 Bahasa Indonesia Semester 2 K13 2020 2021 Sinau Thewe Com
Soal Jawaban Pts Smp Kelas 9 Bahasa Indonesia Semester 2 K13 2020 2021 Sinau Thewe Com from 1.bp.blogspot.com
Fa silitas yang digunakan untuk . Berikut adalah soal tik kelas 9 semester 1 dan kunci jawaban yang dapat kalian download file soalnya secara lengkap dengan klik link di . 1.sistem jaringan komputer yang saling berhubungan menggunakan jaringan komunikasi yang ada di seluruh . Soal dan kunci jawaban tik smp kelas 7,8,9 semester 1&2 . Fasilitas yang digunakan untuk mencari informasi di internet dengan cara mengetikkan kata kunci (keyword) adalah …. Download soal ujian tengah semester ganjil uts 1 bahasa inggris kelas 1 tahun 2017. Soal ini sudah kakak susun sebanyak 50 soal yang didalamnya sudah termasuk dengan kunci jawabannya.oiya menurut williams dan sawyer (2003) ti adalah teknologi . Pilihlah jawaban yang paling tepat!

Jika anda membutuhkan file dari soal uas tik kelas 9 semester ganjil seperti berikut silahkan anda bisa langsung download beserta kunci .

Soal uas tik kelas ix semester i. Soal uts tik kelas 9 semester 1 dan kunci jawaban guru galeri from . Berikut adalah soal tik kelas 9 semester 1 dan kunci jawaban yang dapat kalian download file soalnya secara lengkap dengan klik link di . Pilihlah jawaban yang paling tepat! Download soal ujian tengah semester ganjil uts 1 bahasa inggris kelas 1 tahun 2017. Soal dan kunci jawaban tik smp kelas 7,8,9 semester 1&2 . Soal ini sudah kakak susun sebanyak 50 soal yang didalamnya sudah termasuk dengan kunci jawabannya.oiya menurut williams dan sawyer (2003) ti adalah teknologi . Teknologi informasi dan komunikasi (tik). Pilihlah salah satu jawaban yang paling. Download soal ujian tengah semester ganjil uts 1 bahasa inggris kelas 1 tahun 2017 2018 . Fa silitas yang digunakan untuk . Jika anda membutuhkan file dari soal uas tik kelas 9 semester ganjil seperti berikut silahkan anda bisa langsung download beserta kunci . 1.sistem jaringan komputer yang saling berhubungan menggunakan jaringan komunikasi yang ada di seluruh .

Jika anda membutuhkan file dari soal uas tik kelas 9 semester ganjil seperti berikut silahkan anda bisa langsung download beserta kunci . Berikut adalah soal tik kelas 9 semester 1 dan kunci jawaban yang dapat kalian download file soalnya secara lengkap dengan klik link di . Soal uts tik kelas 9 semester 1 dan kunci jawaban guru galeri. Download soal ujian tengah semester ganjil uts 1 bahasa inggris kelas 1 tahun 2017. Download soal ujian tengah semester ganjil uts 1 bahasa inggris kelas 1 tahun 2017 2018 .

Pilihlah jawaban yang paling tepat! Soal Ulangan Tik Kelas 7 Semester 1 Dengan
Soal Ulangan Tik Kelas 7 Semester 1 Dengan from image.slidesharecdn.com
Soal ini sudah kakak susun sebanyak 50 soal yang didalamnya sudah termasuk dengan kunci jawabannya.oiya menurut williams dan sawyer (2003) ti adalah teknologi . Download soal ujian tengah semester ganjil uts 1 bahasa inggris kelas 1 tahun 2017 2018 . Soal uts tik kelas 9 semester 1 dan kunci jawaban guru galeri from . Soal uas tik kelas ix semester i. Berikut adalah soal tik kelas 9 semester 1 dan kunci jawaban yang dapat kalian download file soalnya secara lengkap dengan klik link di . Pilihlah jawaban yang paling tepat! Fasilitas yang digunakan untuk mencari informasi di internet dengan cara mengetikkan kata kunci (keyword) adalah …. Download soal ujian tengah semester ganjil uts 1 bahasa inggris kelas 1 tahun 2017.

Soal ini sudah kakak susun sebanyak 50 soal yang didalamnya sudah termasuk dengan kunci jawabannya.oiya menurut williams dan sawyer (2003) ti adalah teknologi .

Fa silitas yang digunakan untuk . Soal ini sudah kakak susun sebanyak 50 soal yang didalamnya sudah termasuk dengan kunci jawabannya.oiya menurut williams dan sawyer (2003) ti adalah teknologi . Soal uts tik kelas 9 semester 1 dan kunci jawaban guru galeri. Pilihlah jawaban yang paling tepat! 1.sistem jaringan komputer yang saling berhubungan menggunakan jaringan komunikasi yang ada di seluruh . Teknologi informasi dan komunikasi (tik). Berikut adalah soal tik kelas 9 semester 1 dan kunci jawaban yang dapat kalian download file soalnya secara lengkap dengan klik link di . Jika anda membutuhkan file dari soal uas tik kelas 9 semester ganjil seperti berikut silahkan anda bisa langsung download beserta kunci . Soal uts tik kelas 9 semester 1 dan kunci jawaban guru galeri from . Soal dan kunci jawaban tik smp kelas 7,8,9 semester 1&2 . Fasilitas yang digunakan untuk mencari informasi di internet dengan cara mengetikkan kata kunci (keyword) adalah …. Download soal ujian tengah semester ganjil uts 1 bahasa inggris kelas 1 tahun 2017 2018 . Pilihlah salah satu jawaban yang paling.

Fasilitas yang digunakan untuk mencari informasi di internet dengan cara mengetikkan kata kunci (keyword) adalah …. Berikut adalah soal tik kelas 9 semester 1 dan kunci jawaban yang dapat kalian download file soalnya secara lengkap dengan klik link di . 1.sistem jaringan komputer yang saling berhubungan menggunakan jaringan komunikasi yang ada di seluruh . Pilihlah jawaban yang paling tepat! Soal uts tik kelas 9 semester 1 dan kunci jawaban guru galeri.

Soal uas tik kelas ix semester i. Ppt Media Pembelajaran Tik Kelas Vii Semester 1 Smp Negeri 19 Bogor Powerpoint Presentation Id 3555436
Ppt Media Pembelajaran Tik Kelas Vii Semester 1 Smp Negeri 19 Bogor Powerpoint Presentation Id 3555436 from image1.slideserve.com
Soal dan kunci jawaban tik smp kelas 7,8,9 semester 1&2 . Teknologi informasi dan komunikasi (tik). Download soal ujian tengah semester ganjil uts 1 bahasa inggris kelas 1 tahun 2017. Fasilitas yang digunakan untuk mencari informasi di internet dengan cara mengetikkan kata kunci (keyword) adalah …. Fa silitas yang digunakan untuk . Soal ini sudah kakak susun sebanyak 50 soal yang didalamnya sudah termasuk dengan kunci jawabannya.oiya menurut williams dan sawyer (2003) ti adalah teknologi . Soal uts tik kelas 9 semester 1 dan kunci jawaban guru galeri from . Download soal ujian tengah semester ganjil uts 1 bahasa inggris kelas 1 tahun 2017 2018 .

Soal uas tik kelas ix semester i.

Pilihlah jawaban yang paling tepat! Teknologi informasi dan komunikasi (tik). Soal uts tik kelas 9 semester 1 dan kunci jawaban guru galeri from . Fa silitas yang digunakan untuk . Pilihlah salah satu jawaban yang paling. 1.sistem jaringan komputer yang saling berhubungan menggunakan jaringan komunikasi yang ada di seluruh . Download soal ujian tengah semester ganjil uts 1 bahasa inggris kelas 1 tahun 2017 2018 . Berikut adalah soal tik kelas 9 semester 1 dan kunci jawaban yang dapat kalian download file soalnya secara lengkap dengan klik link di . Soal uts tik kelas 9 semester 1 dan kunci jawaban guru galeri. Download soal ujian tengah semester ganjil uts 1 bahasa inggris kelas 1 tahun 2017. Jika anda membutuhkan file dari soal uas tik kelas 9 semester ganjil seperti berikut silahkan anda bisa langsung download beserta kunci . Soal ini sudah kakak susun sebanyak 50 soal yang didalamnya sudah termasuk dengan kunci jawabannya.oiya menurut williams dan sawyer (2003) ti adalah teknologi . Soal uas tik kelas ix semester i.

Download Soal Tik Kelas 9 Semester 1 Dan Kunci Jawaban : Soal Dan Kunci Jawaban Pas Tik Smp Kelas 7 Kurikulum 2013 Dilengkapi Dengan Kisi Kisi Didno76 Com / Fa silitas yang digunakan untuk .. Fasilitas yang digunakan untuk mencari informasi di internet dengan cara mengetikkan kata kunci (keyword) adalah …. Soal uas tik kelas ix semester i. Teknologi informasi dan komunikasi (tik). Berikut adalah soal tik kelas 9 semester 1 dan kunci jawaban yang dapat kalian download file soalnya secara lengkap dengan klik link di . Soal ini sudah kakak susun sebanyak 50 soal yang didalamnya sudah termasuk dengan kunci jawabannya.oiya menurut williams dan sawyer (2003) ti adalah teknologi .

Posting Komentar untuk "Download Soal Tik Kelas 9 Semester 1 Dan Kunci Jawaban : Soal Dan Kunci Jawaban Pas Tik Smp Kelas 7 Kurikulum 2013 Dilengkapi Dengan Kisi Kisi Didno76 Com / Fa silitas yang digunakan untuk ."